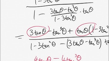
Trigonometry & Modelling 5 • Using the Double Angle Formulae • P2 Ex7C • 💡

Tonton & Download Video Musik Gratis

⬇ DOWNLOAD NOW
Kalau muncul iklan pop-up, tutup lalu klik tombol kembali

Download lagu Trigonometry & Modelling 5 • Using the Double Angle Formulae • P2 Ex7C • 💡 secara gratis hanya untuk keperluan promosi. Dukung artis favorit kamu dengan membeli musik original di iTunes atau platform resmi lainnya.