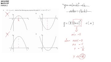
HKDSE 2016 Maths Core Paper 2 Q09: Quadratic Function graph 二次函數圖像、Inequality sign changes direction

Tonton & Download Video Musik Gratis

⬇ DOWNLOAD NOW
Kalau muncul iklan pop-up, tutup lalu klik tombol kembali

Download lagu HKDSE 2016 Maths Core Paper 2 Q09: Quadratic Function graph 二次函數圖像、Inequality sign changes direction secara gratis hanya untuk keperluan promosi. Dukung artis favorit kamu dengan membeli musik original di iTunes atau platform resmi lainnya.