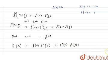
If f(x+y) = f(x)f(y) and f(5)=2, f'(0) = 3 then value of f'(5) is. #sikshabrati

Tonton & Download Video Musik Gratis

⬇ DOWNLOAD NOW
Kalau muncul iklan pop-up, tutup lalu klik tombol kembali

Download lagu If f(x+y) = f(x)f(y) and f(5)=2, f'(0) = 3 then value of f'(5) is. #sikshabrati secara gratis hanya untuk keperluan promosi. Dukung artis favorit kamu dengan membeli musik original di iTunes atau platform resmi lainnya.