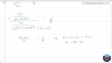
For a positive integer n,(1+1/x)^n is expanded in increasing powers of x. If three consecutive co...

Tonton & Download Video Musik Gratis

⬇ DOWNLOAD NOW
Kalau muncul iklan pop-up, tutup lalu klik tombol kembali

Download lagu For a positive integer n,(1+1/x)^n is expanded in increasing powers of x. If three consecutive co... secara gratis hanya untuk keperluan promosi. Dukung artis favorit kamu dengan membeli musik original di iTunes atau platform resmi lainnya.