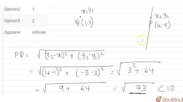
Number of lines that can be drawn through the point (4,-5) so that its distance from (-2,3) will ...

Tonton & Download Video Musik Gratis

⬇ DOWNLOAD NOW
Kalau muncul iklan pop-up, tutup lalu klik tombol kembali

Download lagu Number of lines that can be drawn through the point (4,-5) so that its distance from (-2,3) will ... secara gratis hanya untuk keperluan promosi. Dukung artis favorit kamu dengan membeli musik original di iTunes atau platform resmi lainnya.