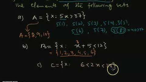
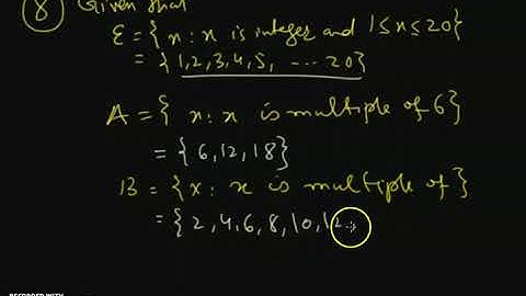
Chapter 1 Section 1.1B Universal Set and Compliment of a Set - New Additional Mathematics

Tonton & Download Video Musik Gratis

⬇ DOWNLOAD NOW
Kalau muncul iklan pop-up, tutup lalu klik tombol kembali

Download lagu Chapter 1 Section 1.1B Universal Set and Compliment of a Set - New Additional Mathematics secara gratis hanya untuk keperluan promosi. Dukung artis favorit kamu dengan membeli musik original di iTunes atau platform resmi lainnya.