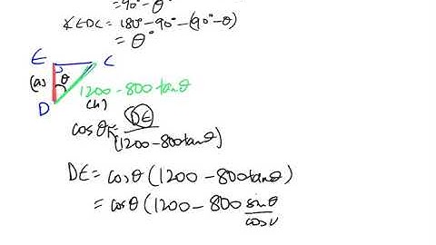
Trigonometry- R-Formula (Additional Mathematics Secondary 3/4)

Tonton & Download Video Musik Gratis

⬇ DOWNLOAD NOW
Kalau muncul iklan pop-up, tutup lalu klik tombol kembali

Download lagu Trigonometry- R-Formula (Additional Mathematics Secondary 3/4) secara gratis hanya untuk keperluan promosi. Dukung artis favorit kamu dengan membeli musik original di iTunes atau platform resmi lainnya.