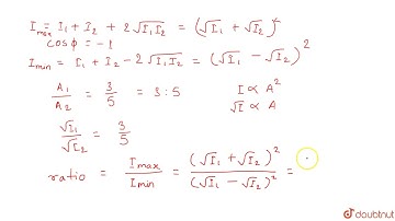
Two waves of equal frequencies have their amplitudes in the ratio of 3:5. They are superimposedo...

Tonton & Download Video Musik Gratis

⬇ DOWNLOAD NOW
Kalau muncul iklan pop-up, tutup lalu klik tombol kembali

Download lagu Two waves of equal frequencies have their amplitudes in the ratio of 3:5. They are superimposedo... secara gratis hanya untuk keperluan promosi. Dukung artis favorit kamu dengan membeli musik original di iTunes atau platform resmi lainnya.