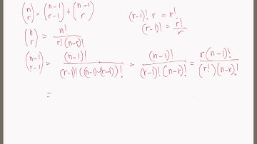
If (n+1)C(r+1) : nCr : (n-1)C(r-1) = 11:6:3, find the value of n and r| Combination | Best Tutorial

Tonton & Download Video Musik Gratis

⬇ DOWNLOAD NOW
Kalau muncul iklan pop-up, tutup lalu klik tombol kembali

Download lagu If (n+1)C(r+1) : nCr : (n-1)C(r-1) = 11:6:3, find the value of n and r| Combination | Best Tutorial secara gratis hanya untuk keperluan promosi. Dukung artis favorit kamu dengan membeli musik original di iTunes atau platform resmi lainnya.