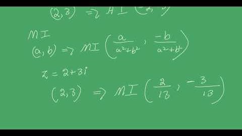
Exr#1.2 |Q# 03&04|Additive & Multiplicative Inverses of Complex Number|Sheraz Hussain Academy2020

Tonton & Download Video Musik Gratis

⬇ DOWNLOAD NOW
Kalau muncul iklan pop-up, tutup lalu klik tombol kembali

Download lagu Exr#1.2 |Q# 03&04|Additive & Multiplicative Inverses of Complex Number|Sheraz Hussain Academy2020 secara gratis hanya untuk keperluan promosi. Dukung artis favorit kamu dengan membeli musik original di iTunes atau platform resmi lainnya.