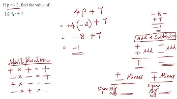
NCERT CLASS 7 CHAPTER -12 ALGEBRAIC EXPRESSION EXERCISE -12. 1 QUESTION - 7

Tonton & Download Video Musik Gratis

⬇ DOWNLOAD NOW
Kalau muncul iklan pop-up, tutup lalu klik tombol kembali

Download lagu NCERT CLASS 7 CHAPTER -12 ALGEBRAIC EXPRESSION EXERCISE -12. 1 QUESTION - 7 secara gratis hanya untuk keperluan promosi. Dukung artis favorit kamu dengan membeli musik original di iTunes atau platform resmi lainnya.