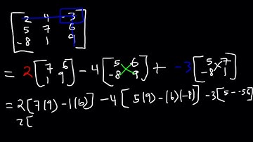
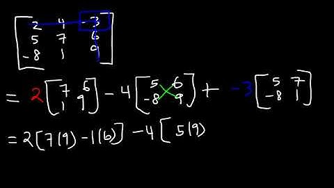
Determinant of 3x3 Matrices, 2x2 Matrix, Precalculus Video Tutorial

Tonton & Download Video Musik Gratis

⬇ DOWNLOAD NOW
Kalau muncul iklan pop-up, tutup lalu klik tombol kembali

Download lagu Determinant of 3x3 Matrices, 2x2 Matrix, Precalculus Video Tutorial secara gratis hanya untuk keperluan promosi. Dukung artis favorit kamu dengan membeli musik original di iTunes atau platform resmi lainnya.