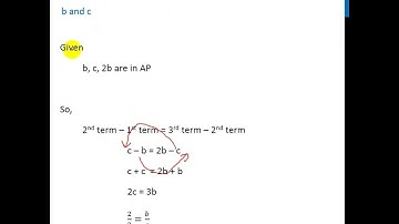
If first three terms of an AP and b, c and 2b, then find the ratio of b and c, chapter AP class10

Tonton & Download Video Musik Gratis

⬇ DOWNLOAD NOW
Kalau muncul iklan pop-up, tutup lalu klik tombol kembali

Download lagu If first three terms of an AP and b, c and 2b, then find the ratio of b and c, chapter AP class10 secara gratis hanya untuk keperluan promosi. Dukung artis favorit kamu dengan membeli musik original di iTunes atau platform resmi lainnya.