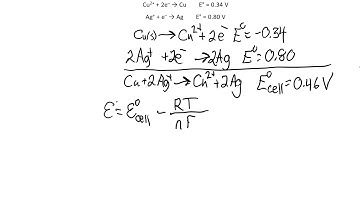
Chm 152 Chapter 18 WP 2 Calculate Cell Potential

Tonton & Download Video Musik Gratis

⬇ DOWNLOAD NOW
Kalau muncul iklan pop-up, tutup lalu klik tombol kembali

Download lagu Chm 152 Chapter 18 WP 2 Calculate Cell Potential secara gratis hanya untuk keperluan promosi. Dukung artis favorit kamu dengan membeli musik original di iTunes atau platform resmi lainnya.