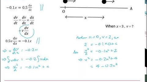
Linear Motion Under Variable Force Intro + Examples - Mechanics - Further Mathematics (9231)

Tonton & Download Video Musik Gratis

⬇ DOWNLOAD NOW
Kalau muncul iklan pop-up, tutup lalu klik tombol kembali

Download lagu Linear Motion Under Variable Force Intro + Examples - Mechanics - Further Mathematics (9231) secara gratis hanya untuk keperluan promosi. Dukung artis favorit kamu dengan membeli musik original di iTunes atau platform resmi lainnya.