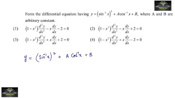
Q15. Form the differential equations for : b) y = ksin-1x , k parameter c) y = αx + βx^2

Tonton & Download Video Musik Gratis

⬇ DOWNLOAD NOW
Kalau muncul iklan pop-up, tutup lalu klik tombol kembali

Download lagu Q15. Form the differential equations for : b) y = ksin-1x , k parameter c) y = αx + βx^2 secara gratis hanya untuk keperluan promosi. Dukung artis favorit kamu dengan membeli musik original di iTunes atau platform resmi lainnya.