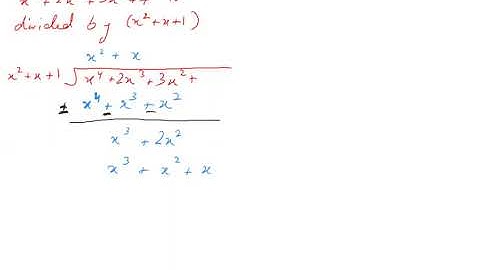
A2 Level Math - Algebra - Division - Quotient - Remainder- Lecture 8 by Sir Ahsan Abdullah Patel

Tonton & Download Video Musik Gratis

⬇ DOWNLOAD NOW
Kalau muncul iklan pop-up, tutup lalu klik tombol kembali

Download lagu A2 Level Math - Algebra - Division - Quotient - Remainder- Lecture 8 by Sir Ahsan Abdullah Patel secara gratis hanya untuk keperluan promosi. Dukung artis favorit kamu dengan membeli musik original di iTunes atau platform resmi lainnya.