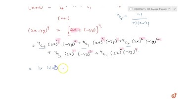
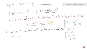
Using binomial theorem expand ltmath gt ltmrow gt ltmsup gt ltmrow gt ltmrow gt ltmo gt(

Tonton & Download Video Musik Gratis

⬇ DOWNLOAD NOW
Kalau muncul iklan pop-up, tutup lalu klik tombol kembali

Download lagu Using binomial theorem expand ltmath gt ltmrow gt ltmsup gt ltmrow gt ltmrow gt ltmo gt( secara gratis hanya untuk keperluan promosi. Dukung artis favorit kamu dengan membeli musik original di iTunes atau platform resmi lainnya.