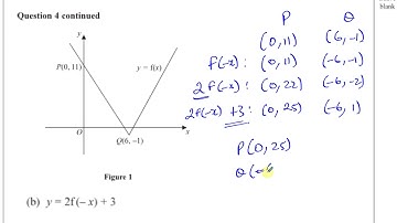
OCR C3 June 2015 q4 - A2 Maths - Modulus Questions

Tonton & Download Video Musik Gratis

⬇ DOWNLOAD NOW
Kalau muncul iklan pop-up, tutup lalu klik tombol kembali

Download lagu OCR C3 June 2015 q4 - A2 Maths - Modulus Questions secara gratis hanya untuk keperluan promosi. Dukung artis favorit kamu dengan membeli musik original di iTunes atau platform resmi lainnya.