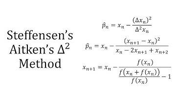
Msc Final Year # Iteration Method # Aitken's Del Sequre - Process # Numerical Analysis #RU

Tonton & Download Video Musik Gratis

⬇ DOWNLOAD NOW
Kalau muncul iklan pop-up, tutup lalu klik tombol kembali

Download lagu Msc Final Year # Iteration Method # Aitken's Del Sequre - Process # Numerical Analysis #RU secara gratis hanya untuk keperluan promosi. Dukung artis favorit kamu dengan membeli musik original di iTunes atau platform resmi lainnya.