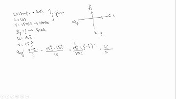
A particle is moving due to eastwards with a velocity of `5 ms^(-1)`. In 10 seconds the

Tonton & Download Video Musik Gratis

⬇ DOWNLOAD NOW
Kalau muncul iklan pop-up, tutup lalu klik tombol kembali

Download lagu A particle is moving due to eastwards with a velocity of `5 ms^(-1)`. In 10 seconds the secara gratis hanya untuk keperluan promosi. Dukung artis favorit kamu dengan membeli musik original di iTunes atau platform resmi lainnya.