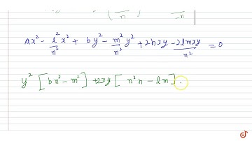
The pair of lines joining origin to the points of intersection of, the two curves `ax^2+2hxy + ...

Tonton & Download Video Musik Gratis

⬇ DOWNLOAD NOW
Kalau muncul iklan pop-up, tutup lalu klik tombol kembali

Download lagu The pair of lines joining origin to the points of intersection of, the two curves `ax^2+2hxy + ... secara gratis hanya untuk keperluan promosi. Dukung artis favorit kamu dengan membeli musik original di iTunes atau platform resmi lainnya.