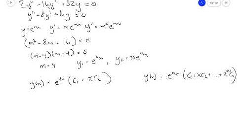
Homogeneous linear equations Exercise 9I Part 2 Linear equations with constant coefficient Lalji Pr.

Tonton & Download Video Musik Gratis

⬇ DOWNLOAD NOW
Kalau muncul iklan pop-up, tutup lalu klik tombol kembali

Download lagu Homogeneous linear equations Exercise 9I Part 2 Linear equations with constant coefficient Lalji Pr. secara gratis hanya untuk keperluan promosi. Dukung artis favorit kamu dengan membeli musik original di iTunes atau platform resmi lainnya.