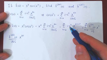
A2 Further Maths - Core - Higher Derivatives for Maclaurin Series

Tonton & Download Video Musik Gratis

⬇ DOWNLOAD NOW
Kalau muncul iklan pop-up, tutup lalu klik tombol kembali

Download lagu A2 Further Maths - Core - Higher Derivatives for Maclaurin Series secara gratis hanya untuk keperluan promosi. Dukung artis favorit kamu dengan membeli musik original di iTunes atau platform resmi lainnya.