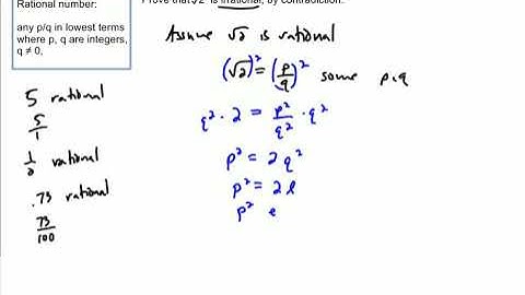
Prove by contradiction that if n is a positive integer, then sqrt(4n-2) is irrational

Tonton & Download Video Musik Gratis

⬇ DOWNLOAD NOW
Kalau muncul iklan pop-up, tutup lalu klik tombol kembali

Download lagu Prove by contradiction that if n is a positive integer, then sqrt(4n-2) is irrational secara gratis hanya untuk keperluan promosi. Dukung artis favorit kamu dengan membeli musik original di iTunes atau platform resmi lainnya.