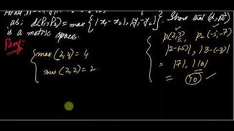
#MTH405 Lecture 27 Part 6 c[a,b] as a metric space-2

Tonton & Download Video Musik Gratis

⬇ DOWNLOAD NOW
Kalau muncul iklan pop-up, tutup lalu klik tombol kembali

Download lagu #MTH405 Lecture 27 Part 6 c[a,b] as a metric space-2 secara gratis hanya untuk keperluan promosi. Dukung artis favorit kamu dengan membeli musik original di iTunes atau platform resmi lainnya.