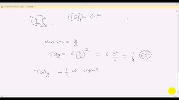
Q. What will happen to the volume of a cube, if each of its edges is halved ? #maths Volume of Cube

Tonton & Download Video Musik Gratis

⬇ DOWNLOAD NOW
Kalau muncul iklan pop-up, tutup lalu klik tombol kembali

Download lagu Q. What will happen to the volume of a cube, if each of its edges is halved ? #maths Volume of Cube secara gratis hanya untuk keperluan promosi. Dukung artis favorit kamu dengan membeli musik original di iTunes atau platform resmi lainnya.