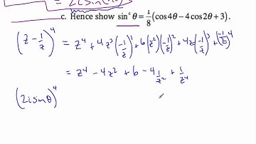
1.4 Trigonometric Identities (CORE 2 - Chapter 1: Complex numbers)

Tonton & Download Video Musik Gratis

⬇ DOWNLOAD NOW
Kalau muncul iklan pop-up, tutup lalu klik tombol kembali

Download lagu 1.4 Trigonometric Identities (CORE 2 - Chapter 1: Complex numbers) secara gratis hanya untuk keperluan promosi. Dukung artis favorit kamu dengan membeli musik original di iTunes atau platform resmi lainnya.