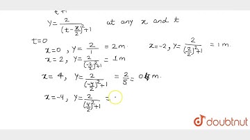
A wave pulse passing on a string with speed of `40cms^-1` in the negative x direction has its ma...

Tonton & Download Video Musik Gratis

⬇ DOWNLOAD NOW
Kalau muncul iklan pop-up, tutup lalu klik tombol kembali

Download lagu A wave pulse passing on a string with speed of `40cms^-1` in the negative x direction has its ma... secara gratis hanya untuk keperluan promosi. Dukung artis favorit kamu dengan membeli musik original di iTunes atau platform resmi lainnya.