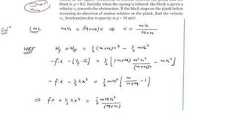
Pathfinder Impulse & Momentum. Build Up Your Understanding, Q.8

Tonton & Download Video Musik Gratis

⬇ DOWNLOAD NOW
Kalau muncul iklan pop-up, tutup lalu klik tombol kembali

Download lagu Pathfinder Impulse & Momentum. Build Up Your Understanding, Q.8 secara gratis hanya untuk keperluan promosi. Dukung artis favorit kamu dengan membeli musik original di iTunes atau platform resmi lainnya.