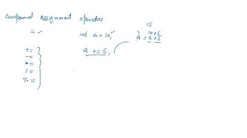
[Arabic] Fundamentals of Programming With C++ #14 - Assignment and Compound Assignment Operators

Tonton & Download Video Musik Gratis

⬇ DOWNLOAD NOW
Kalau muncul iklan pop-up, tutup lalu klik tombol kembali

Download lagu [Arabic] Fundamentals of Programming With C++ #14 - Assignment and Compound Assignment Operators secara gratis hanya untuk keperluan promosi. Dukung artis favorit kamu dengan membeli musik original di iTunes atau platform resmi lainnya.