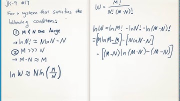
Stirling's approximation and Boltzmann Theorem| Statistical Mechanics| B.Sc. II PME Class III

Tonton & Download Video Musik Gratis

⬇ DOWNLOAD NOW
Kalau muncul iklan pop-up, tutup lalu klik tombol kembali

Download lagu Stirling's approximation and Boltzmann Theorem| Statistical Mechanics| B.Sc. II PME Class III secara gratis hanya untuk keperluan promosi. Dukung artis favorit kamu dengan membeli musik original di iTunes atau platform resmi lainnya.