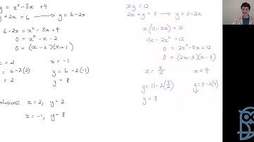
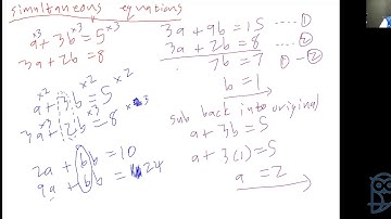
Live Lesson: Checkpoint Mathematics - Changing the subject of an equation and substitution

Tonton & Download Video Musik Gratis

⬇ DOWNLOAD NOW
Kalau muncul iklan pop-up, tutup lalu klik tombol kembali

Download lagu Live Lesson: Checkpoint Mathematics - Changing the subject of an equation and substitution secara gratis hanya untuk keperluan promosi. Dukung artis favorit kamu dengan membeli musik original di iTunes atau platform resmi lainnya.