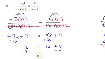
Day 7 HW (1 to 6) Solving Rational Equations using Like Denominators

Tonton & Download Video Musik Gratis

⬇ DOWNLOAD NOW
Kalau muncul iklan pop-up, tutup lalu klik tombol kembali

Download lagu Day 7 HW (1 to 6) Solving Rational Equations using Like Denominators secara gratis hanya untuk keperluan promosi. Dukung artis favorit kamu dengan membeli musik original di iTunes atau platform resmi lainnya.