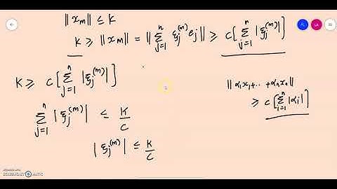
In finite dimensional Normed space a subset M is compact iff it is closed and bounded

Tonton & Download Video Musik Gratis

⬇ DOWNLOAD NOW
Kalau muncul iklan pop-up, tutup lalu klik tombol kembali

Download lagu In finite dimensional Normed space a subset M is compact iff it is closed and bounded secara gratis hanya untuk keperluan promosi. Dukung artis favorit kamu dengan membeli musik original di iTunes atau platform resmi lainnya.