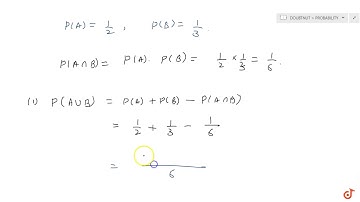
14 Probability of solving specific problem independently by A and B are ½ and 13respectively If bo

Tonton & Download Video Musik Gratis

⬇ DOWNLOAD NOW
Kalau muncul iklan pop-up, tutup lalu klik tombol kembali

Download lagu 14 Probability of solving specific problem independently by A and B are ½ and 13respectively If bo secara gratis hanya untuk keperluan promosi. Dukung artis favorit kamu dengan membeli musik original di iTunes atau platform resmi lainnya.