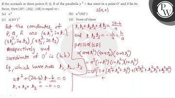
If the normals at two pointsand Q of a parabola y^2=4 a x intersect at a third point R on the cur...

Tonton & Download Video Musik Gratis

⬇ DOWNLOAD NOW
Kalau muncul iklan pop-up, tutup lalu klik tombol kembali

Download lagu If the normals at two pointsand Q of a parabola y^2=4 a x intersect at a third point R on the cur... secara gratis hanya untuk keperluan promosi. Dukung artis favorit kamu dengan membeli musik original di iTunes atau platform resmi lainnya.