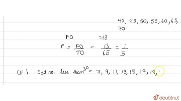
9. A box contains cards bearing numbers from 6 to 70. If one card is drawn at random from the box,

Tonton & Download Video Musik Gratis

⬇ DOWNLOAD NOW
Kalau muncul iklan pop-up, tutup lalu klik tombol kembali

Download lagu 9. A box contains cards bearing numbers from 6 to 70. If one card is drawn at random from the box, secara gratis hanya untuk keperluan promosi. Dukung artis favorit kamu dengan membeli musik original di iTunes atau platform resmi lainnya.