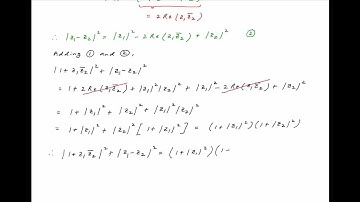
If |z1| = |z2| = |z3 |=…… = |zn| = 1 then prove that , |1/z1+1/z2+1/z3+……+1/zn| = |z1+z2+z3+……+zn|

Tonton & Download Video Musik Gratis

⬇ DOWNLOAD NOW
Kalau muncul iklan pop-up, tutup lalu klik tombol kembali

Download lagu If |z1| = |z2| = |z3 |=…… = |zn| = 1 then prove that , |1/z1+1/z2+1/z3+……+1/zn| = |z1+z2+z3+……+zn| secara gratis hanya untuk keperluan promosi. Dukung artis favorit kamu dengan membeli musik original di iTunes atau platform resmi lainnya.