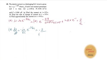
The current in a discharging `LR` circuit is given by `I = i_0 e^(-t/tau)` where `tau` is the time

Tonton & Download Video Musik Gratis

⬇ DOWNLOAD NOW
Kalau muncul iklan pop-up, tutup lalu klik tombol kembali

Download lagu The current in a discharging `LR` circuit is given by `I = i_0 e^(-t/tau)` where `tau` is the time secara gratis hanya untuk keperluan promosi. Dukung artis favorit kamu dengan membeli musik original di iTunes atau platform resmi lainnya.