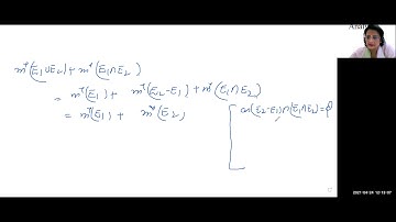
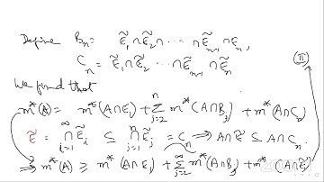
UNION AND INTERSECTION OF TWO MEASURABLE SETS IS MEASURABLE || MEASURE THEORY|| M.SC.||ONLINE||EASY

Tonton & Download Video Musik Gratis

⬇ DOWNLOAD NOW
Kalau muncul iklan pop-up, tutup lalu klik tombol kembali

Download lagu UNION AND INTERSECTION OF TWO MEASURABLE SETS IS MEASURABLE || MEASURE THEORY|| M.SC.||ONLINE||EASY secara gratis hanya untuk keperluan promosi. Dukung artis favorit kamu dengan membeli musik original di iTunes atau platform resmi lainnya.