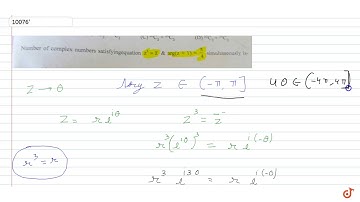
Number of values of z (real or complex) simultaneously satisfying the system of equations 1+z+z^2...

Tonton & Download Video Musik Gratis

⬇ DOWNLOAD NOW
Kalau muncul iklan pop-up, tutup lalu klik tombol kembali

Download lagu Number of values of z (real or complex) simultaneously satisfying the system of equations 1+z+z^2... secara gratis hanya untuk keperluan promosi. Dukung artis favorit kamu dengan membeli musik original di iTunes atau platform resmi lainnya.