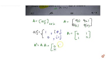
If matrix A = [aij]2×2, where aij = {1, if i ≠ j 0, if i + j, then A^2 is equal to

Tonton & Download Video Musik Gratis

⬇ DOWNLOAD NOW
Kalau muncul iklan pop-up, tutup lalu klik tombol kembali

Download lagu If matrix A = [aij]2×2, where aij = {1, if i ≠ j 0, if i + j, then A^2 is equal to secara gratis hanya untuk keperluan promosi. Dukung artis favorit kamu dengan membeli musik original di iTunes atau platform resmi lainnya.