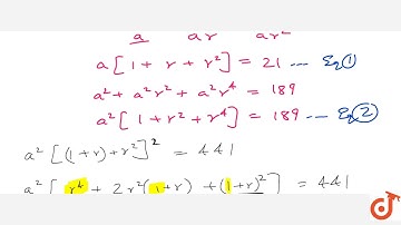
Find three numbers in G. P. such that their sum is 21 and sum of their squares is 189.

Tonton & Download Video Musik Gratis

⬇ DOWNLOAD NOW
Kalau muncul iklan pop-up, tutup lalu klik tombol kembali

Download lagu Find three numbers in G. P. such that their sum is 21 and sum of their squares is 189. secara gratis hanya untuk keperluan promosi. Dukung artis favorit kamu dengan membeli musik original di iTunes atau platform resmi lainnya.