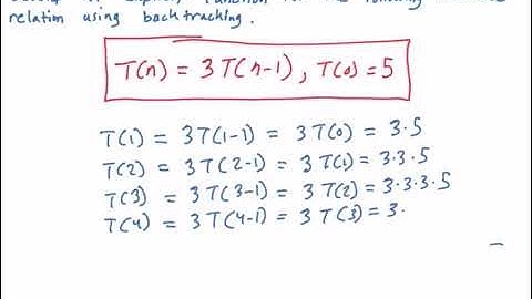
How to Solve a Recurrence Relation using Backtracking: a_n = 2a_(n-1)

Tonton & Download Video Musik Gratis

⬇ DOWNLOAD NOW
Kalau muncul iklan pop-up, tutup lalu klik tombol kembali

Download lagu How to Solve a Recurrence Relation using Backtracking: a_n = 2a_(n-1) secara gratis hanya untuk keperluan promosi. Dukung artis favorit kamu dengan membeli musik original di iTunes atau platform resmi lainnya.