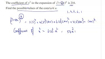
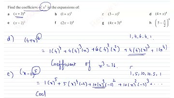
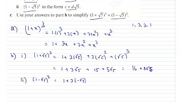
Chapter 6#Binomial expansion# Exercise 6A#Problem 4#Expand#Use your answer to part a to express

Tonton & Download Video Musik Gratis

⬇ DOWNLOAD NOW
Kalau muncul iklan pop-up, tutup lalu klik tombol kembali

Download lagu Chapter 6#Binomial expansion# Exercise 6A#Problem 4#Expand#Use your answer to part a to express secara gratis hanya untuk keperluan promosi. Dukung artis favorit kamu dengan membeli musik original di iTunes atau platform resmi lainnya.