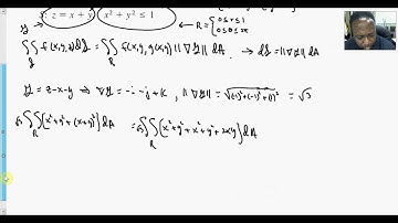
102. Surface Integrals of Scalar Functions, given a surface z=g(x,y) or a parametric surface

Tonton & Download Video Musik Gratis

⬇ DOWNLOAD NOW
Kalau muncul iklan pop-up, tutup lalu klik tombol kembali

Download lagu 102. Surface Integrals of Scalar Functions, given a surface z=g(x,y) or a parametric surface secara gratis hanya untuk keperluan promosi. Dukung artis favorit kamu dengan membeli musik original di iTunes atau platform resmi lainnya.