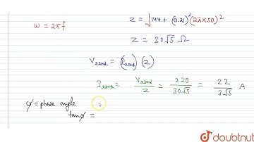
A 0.21 H inductor and a 12 ohm resistor are connected in series to a 220 V, 50 Hz AC source.

Tonton & Download Video Musik Gratis

⬇ DOWNLOAD NOW
Kalau muncul iklan pop-up, tutup lalu klik tombol kembali

Download lagu A 0.21 H inductor and a 12 ohm resistor are connected in series to a 220 V, 50 Hz AC source. secara gratis hanya untuk keperluan promosi. Dukung artis favorit kamu dengan membeli musik original di iTunes atau platform resmi lainnya.