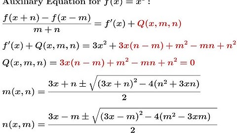
The New Calculus handles inflection points correctly. The flawed mainstream formulation does not.

Tonton & Download Video Musik Gratis

⬇ DOWNLOAD NOW
Kalau muncul iklan pop-up, tutup lalu klik tombol kembali

Download lagu The New Calculus handles inflection points correctly. The flawed mainstream formulation does not. secara gratis hanya untuk keperluan promosi. Dukung artis favorit kamu dengan membeli musik original di iTunes atau platform resmi lainnya.