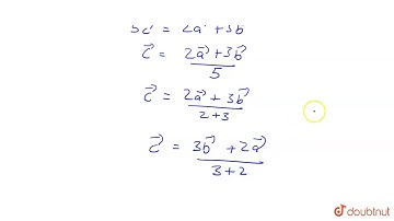
If `bar(a),bar(b)andbar(c)` are the position vectors of the points A,B and C respectively,

Tonton & Download Video Musik Gratis

⬇ DOWNLOAD NOW
Kalau muncul iklan pop-up, tutup lalu klik tombol kembali

Download lagu If `bar(a),bar(b)andbar(c)` are the position vectors of the points A,B and C respectively, secara gratis hanya untuk keperluan promosi. Dukung artis favorit kamu dengan membeli musik original di iTunes atau platform resmi lainnya.